Web Analytics Made Easy - Statcounter
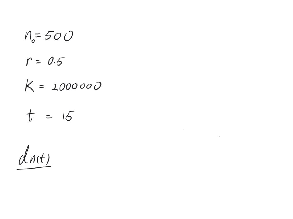
an initial population of 298 quail Solution: assignment 1 : population growth

an initial population of 298 quail Solution: assignment 1 : population growth

Study population the figure illustrates the initial population and the

If you are looking for Mean (+ error) population change of wildebeest showing effect of you've visit to the right page. We have 35 Pics about Mean (+ error) population change of wildebeest showing effect of like [ANSWERED] An initial population of 820 quail in function to model the, [ANSWERED] An initial population of 820 quail increases at an annual and also A flowchart that shows the steps incurred in generating the initial. Read more:

Mean (+ Error) Population Change Of Wildebeest Showing Effect Of

Mean (+ error) population change of wildebeest showing effect of www.researchgate.net

[ANSWERED] An Initial Population Of 820 Quail In Function To Model The

[ANSWERED] An initial population of 820 quail in function to model the kunduz.com

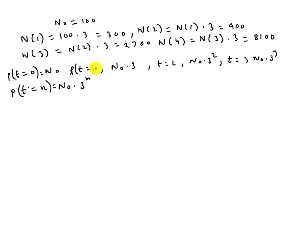
Solved An Initial Population Of 175 Quail Increases At An | Chegg.com

Solved An initial population of 175 quail increases at an | Chegg.com www.chegg.com

solved population quail initial increases transcribed problem text been show has

Solved: An Initial Population Of 175 Quail Increases At An Annual Rate

Solved: An initial population of 175 quail increases at an annual rate www.gauthmath.com

#298 Quail Hollow ~ "The Whole Book"

#298 Quail Hollow ~ "The Whole Book" thewholebook.blogspot.com

quail california running flickr hollow whole book

A Flowchart That Shows The Steps Incurred In Generating The Initial

A flowchart that shows the steps incurred in generating the initial www.researchgate.net

SOLVED: A Bacterial Colony Has An Initial Population Of 200. The

SOLVED: A bacterial colony has an initial population of 200. The www.numerade.com

Proposed Method And The Process Of Randomly Generating The Initial

Proposed method and the process of randomly generating the initial www.researchgate.net

Solved A Culture Of Yeast Grows At A Rate Proportional To | Chegg.com

Solved A culture of yeast grows at a rate proportional to | Chegg.com www.chegg.com

The Influence Of The Proposed Method With Different Values Of Initial

The influence of the proposed method with different values of initial www.researchgate.net

The Relationship Between The Initial Population Density (P I ) Of

The relationship between the initial population density (P i ) of www.researchgate.net

Characteristics Of Population | PPT

Characteristics of Population | PPT www.slideshare.net

Length Variation (cm) Of U. Fasciata Under Various Initial Population

Length variation (cm) of U. fasciata under various initial population www.researchgate.net

Numerical Solution For Example 3 With Parameters (80) And Initial

Numerical solution for Example 3 with parameters (80) and initial www.researchgate.net

Solved: An Initial Population Of 293 Quail Increases At An Annual Rate

Solved: An initial population of 293 quail increases at an annual rate www.gauthmath.com

Flow Diagram Of Initial Population Vs. Final Population Included In

Flow Diagram of initial population vs. final population included in www.researchgate.net

SOLVED: Logistic Differential Equation. Population Grows According The

SOLVED: Logistic Differential Equation. population grows according the www.numerade.com

Effect Of Population Size On Fitness Function Values | Download

Effect of population size on fitness function values | Download www.researchgate.net

Schematic Representation Of The Hierarchical Clustering Process To

Schematic representation of the hierarchical clustering process to www.researchgate.net

(a) Average Proportion Of The Initial Cat Population (N1) On Kangaroo

(a) Average proportion of the initial cat population (N1) on Kangaroo www.researchgate.net

Population Growth | PPT

Population growth | PPT www.slideshare.net

Solved: An Initial Population Of 820 Quail Increases At An Annual Rate

Solved: An initial population of 820 quail increases at an annual rate www.gauthmath.com

Characteristics Of Population | PPT

Characteristics of Population | PPT www.slideshare.net

SOLUTION: Assignment 1 : Population Growth - Studypool

SOLUTION: Assignment 1 : Population Growth - Studypool www.studypool.com

South Dakota Population 2025 - Cheryl Benetta

South Dakota Population 2025 - Cheryl Benetta mirnaymeaghan.pages.dev

298 Quail Holw, Madison, MS 39110 | Zillow

298 Quail Holw, Madison, MS 39110 | Zillow www.zillow.com

SOLVED: The Initial Population Of A Bacteria Colony Is Observed To Be

SOLVED: The initial population of a bacteria colony is observed to be www.numerade.com

Noeon Research

Noeon Research noeon.ai

—Boxplot Of Estimates For Initial Population Size Across All Runs Best

—Boxplot of estimates for initial population size across all runs best www.researchgate.net

[ANSWERED] An Initial Population Of 820 Quail Increases At An Annual

[ANSWERED] An initial population of 820 quail increases at an annual kunduz.com

Randomly Population Of Initial RUC Designs Generated By Topology

Randomly population of initial RUC designs generated by topology www.researchgate.net

Study Population The Figure Illustrates The Initial Population And The

Study population The figure illustrates the initial population and the www.researchgate.net

Global Stability Of The System For Different Initial Conditions

Global stability of the system for different initial conditions www.researchgate.net

298 Quail Holw, Madison, MS 39110 | MLS #4029732 | Zillow

298 Quail Holw, Madison, MS 39110 | MLS #4029732 | Zillow www.zillow.com

Population Projection Of Colorado Potato Beetle Under Water Stress. An

Population projection of Colorado potato beetle under water stress. An www.researchgate.net

Noeon research. Solved: an initial population of 820 quail increases at an annual rate. Mean (+ error) population change of wildebeest showing effect of